目录
1、MATLAB实现数据拟合
2、纯python实现数据拟合
3、pytorch实现数据拟合
1、MATLAB实现数据拟合
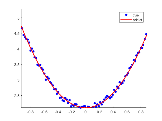
%MATLAB 数据拟合
x=linspace(-1,1,100);
rng('default')%使用整数种子初始化生成器,替换老版本命令rand('state',s);
y=3*x.^2+2+0.2*rand(1,100);
scatter(x,y,'filled','MarkerFaceColor',[0 0 1]);
p=polyfit(x,y,2);
hold on
y_pre = polyval(p,x);
plot(x,y_pre,'r-','LineWidth',2)
legend('true','pridict')
poly2str(p,'x')
2、纯python实现数据拟合
# 纯python实现机器学习:参数拟合
import numpy as np
import matplotlib.pyplot as plt
np.random.seed(10)#程序每次运行产生相同的随机数
#产生100个人工数据
x=np.linspace(-1,1,100).reshape(100,1)
y=3*np.power(x,2)+2+0.2*np.random.rand(x.size).reshape(100,1)
#w1,b1赋随机初值
w1=np.random.rand(1,1);b1=np.random.rand(1,1);
#学习率
lr=0.001
#w1,b1的梯度更新迭代800次
for i in range(800):
    y_pred=np.power(x,2)*w1+b1
    loss=0.5*(y_pred-y)**2
    loss=loss.sum()
    grad_w=np.sum((y_pred-y)*np.power(x,2))
    grad_b=np.sum((y_pred-y))
    w1-=lr*grad_w
    b1-=lr*grad_b
    
plt.plot(x,y_pred,'r-',label='predict',linewidth=3)
plt.scatter(x,y,color='blue',marker='o',label='true')
plt.legend()
plt.show()
print(w1,b1)

[[2.99380213]] [[2.09924881]]
3、pytorch实现数据拟合
#使用pytorch实现机器学习:参数拟合
import torch 
import matplotlib.pyplot as plt
torch.manual_seed(10)#程序每次运行产生相同的随机数
x=torch.unsqueeze(torch.linspace(-1,1,100),dim=1)#j将一维tensor转换为100x1二维tensor
y=3*x.pow(2)+2+0.2*torch.rand(x.size())
w=torch.randn(1,1,dtype=torch.float,requires_grad=True)
b=torch.zeros(1,1,dtype=torch.float,requires_grad=True)
lr=0.001
#w,b的梯度更新迭代800次
for i in range(800):
    y_pred=x.pow(2).mm(w)+b
    loss=0.5*(y_pred-y)**2
    loss=loss.sum()
    
    loss.backward()
    
    with torch.no_grad():
        w-=lr*w.grad
        b-=lr*b.grad
        
        w.grad.zero_()
        b.grad.zero_()
        
plt.plot(x.numpy(),y_pred.detach().numpy(),'r-',linewidth=3,label='predict')
plt.scatter(x.numpy(),y.numpy(),color='blue',marker='o',label='true')
plt.legend()
plt.show()
print(w,b)

tensor([[2.9825]], requires_grad=True) tensor([[2.1039]], requires_grad=True)